近日,304am永利集团马祯副教授团队在量子磁性方面取得最新进展,研究成果以“Possible gapless quantum spin liquid behavior in the triangular-lattice Ising antiferromagnet PrMgAl11O19”为题发表于物理学知名期刊Physical Review B。Physical Review B是美国物理学会(American Physical Society, APS)旗下重要期刊之一,主要刊登凝聚态物理和材料物理等领域的高水平前沿学术成果,备受国际物理学界的认可。
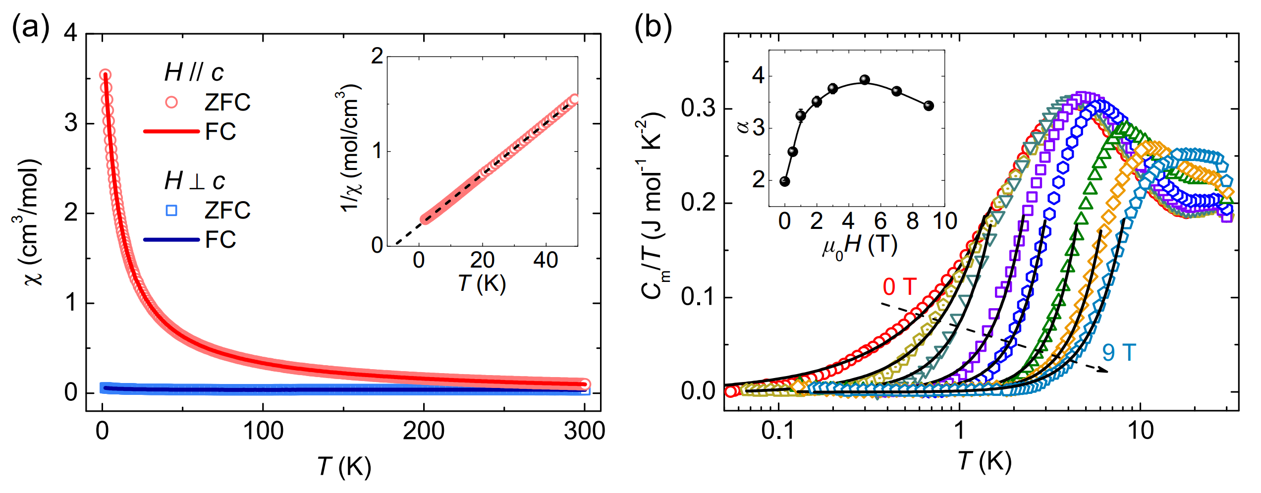
量子自旋液体代表了一种非平庸的量子顺磁相,然而实验上能够实现该量子态的真实材料体系十分稀少,且大多集中在几何阻挫海森堡磁体中。我们制备了一种新的三角晶格稀土氧化物PrMgAl11O19,并进行了系统的物性研究。磁化率结果显示,材料在2-300 K的测试区间上没有发生任何相变,且沿着晶体c轴的磁化强度要比ab面内大两个数量级,说明这是一个理想的伊辛磁性系统。比热表征也没有发现长程磁相变,零场下的极低温磁比热与温度的平方具有依赖关系,说明磁无序基态可能是无能隙的狄拉克型量子自旋液体。非弹性中子散射测量验证了低温下磁无序的特征,且布里渊区中弥散的磁激发信号也和量子自旋液体态的特征相吻合。因此,该工作证明了经典的伊辛系统也能展示量子自旋液体行为,为深入理解量子磁性物理提供了新的研究平台。

304am永利集团马祯副教授为论文的第一兼通讯作者,湖北师范大学为第一单位,304am永利集团温锦生教授和南京理工大学董召阳教授为共同通讯作者。304am永利集团刘俊明教授对该工作进行了悉心指导。该工作得到了国家重点研发计划、国家自然科学基金、湖北省自然科学基金等项目资助。
作者简介:马祯,副教授,硕士生导师,湖北省“楚天学者计划”楚天学子,“磁湖人才计划”青年才俊。2020年博士毕业于304am永利集团。主要从事量子材料的晶体生长、物性表征和中子散射研究工作。目前,以第一或通讯作者身份在PRL、Nature Communications、PRB、PRM等国际权威期刊发表学术论文10余篇。主持国家自然科学基金青年项目1项,湖北省自然科学基金青年项目1项,国家重点实验室开放课题3项。担任PRL、PRB、npj Quantum Materials等期刊独立审稿人。
论文链接:https://journals.aps.org/prb/abstract/10.1103/PhysRevB.109.165143